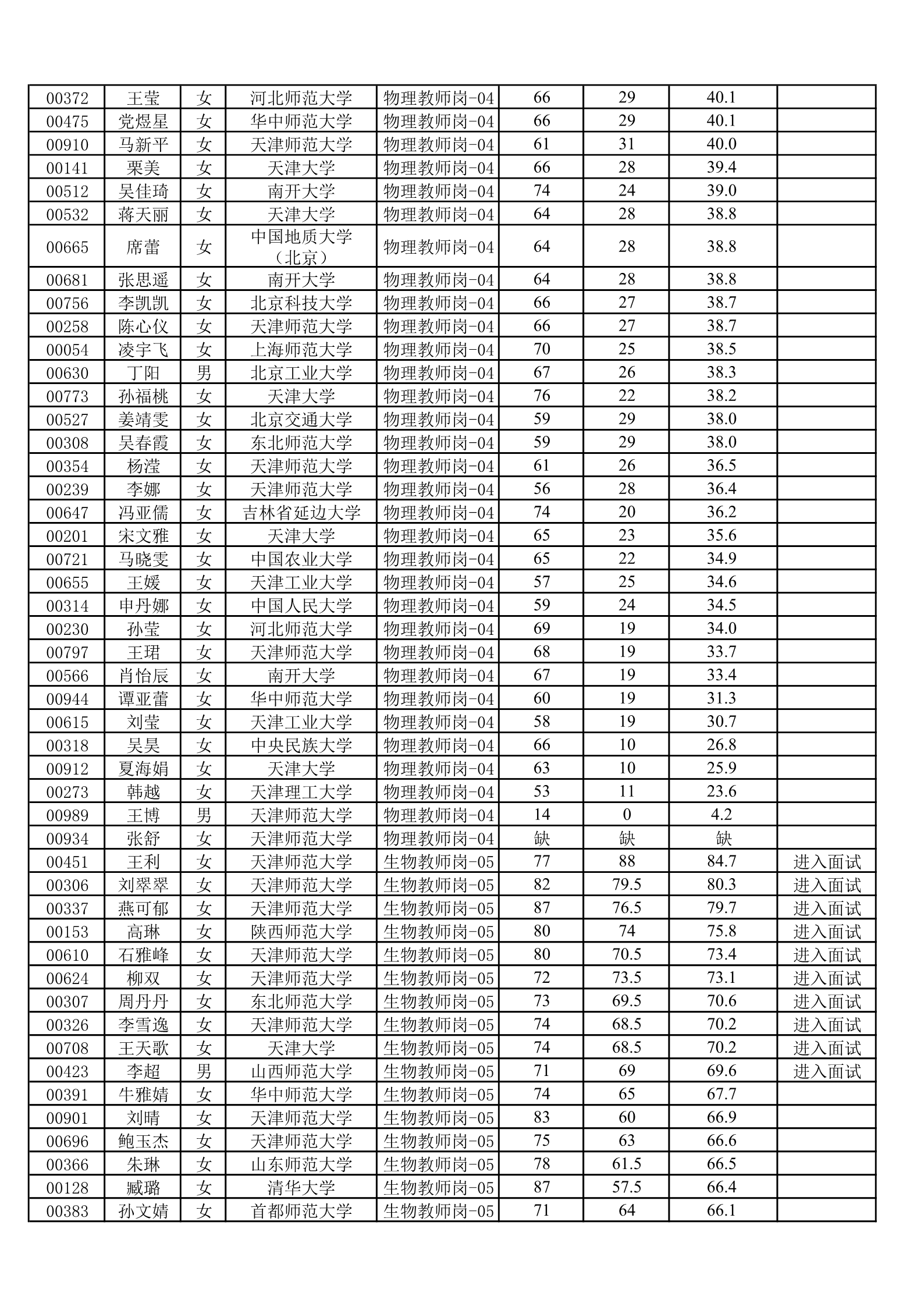
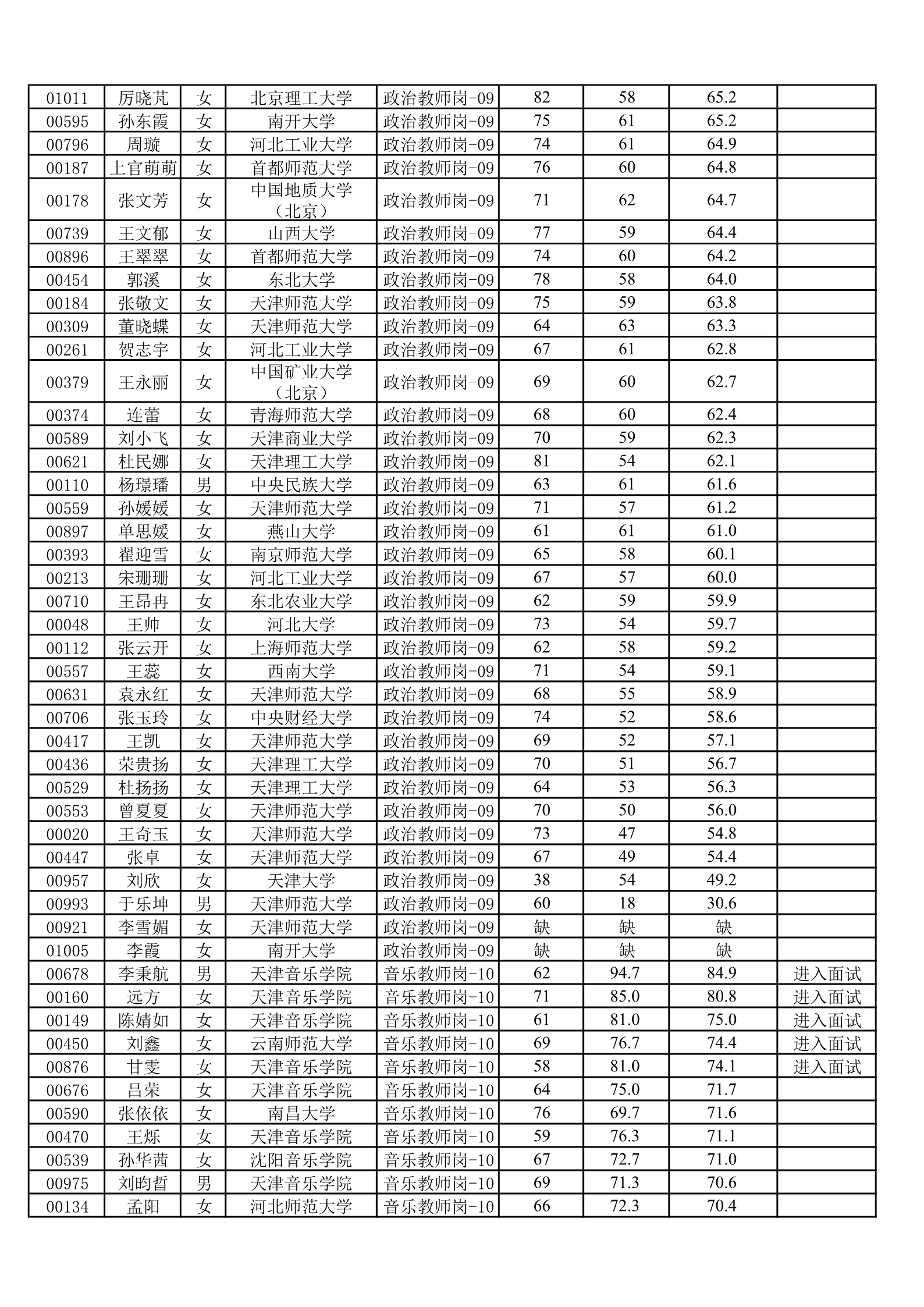
天津一中2020年公开招聘笔试成绩公示
2021-12-13 11:58 分享到:















【半月讲坛教育提醒】2020年天津更多报考信息请关注天津半月讲坛官网(www.banyuetanedu.com)或微信公众号(tjbanyuetan),天津半月讲坛教育咨询电话:022-23108061,天津半月讲坛教育蓟州分校咨询电话:022-29880199。

- 天津市宝坻区2024年公开招聘教师拟聘用人员公示(第四批)
- 2024年天津市和平区教育系统事业单位面向社会第二次公开招聘工
- 2024年天津市南开区教育系统公开招聘拟聘人员公示 (第五批)
- 2024年中新天津生态城教育系统教职人员公开招聘拟录用递补人员
- 2024年天津市南开区教育系统公开招聘拟聘人员公示 (第四批)
- 天津市滨海新区2024年公开招聘教师(第二批递补)拟聘公示
- 天津市东丽区2024年公开招聘教师(校医)拟聘用人员公示(第一
- 天津市宝坻区2024年公开招聘教师拟聘用人员公示(第一批)
- 2024年天津市南开区教育系统公开招聘拟聘人员公示 (第三批)
- 天津市西青区杨柳青第四中学2024年公开招聘美术教师公示公告
- 天津市宝坻区2024年公开招聘教师拟聘用人员公示(第四批)
- 2024年天津市和平区教育系统事业单位面向社会第二次公开招聘工
- 2024年天津市南开区教育系统公开招聘拟聘人员公示 (第五批)
- 2024年中新天津生态城教育系统教职人员公开招聘拟录用递补人员
- 2024年天津市南开区教育系统公开招聘拟聘人员公示 (第四批)
- 天津市滨海新区2024年公开招聘教师(第二批递补)拟聘公示
- 天津市东丽区2024年公开招聘教师(校医)拟聘用人员公示(第一
- 天津市宝坻区2024年公开招聘教师拟聘用人员公示(第一批)
- 2024年天津市南开区教育系统公开招聘拟聘人员公示 (第三批)
- 天津市西青区杨柳青第四中学2024年公开招聘美术教师公示公告







